La Academia de Ciencias Físicas, Matemáticas y Naturales proyecta un pico de mil casos de COVID-19 diarios en el país

Efecto Cocuyo

Texto por Mariel Lozada | @marielozadab

La Academia de Ciencias Físicas, Matemáticas y Naturales (ACFIMAN) intentó resolver tres preguntas en su último estudio sobre COVID-19: ¿Cuánta información hay y que tan precisa es? ¿Sobre la base de la información disponible, ¿podemos aproximar el número real de personas contagiadas hasta el momento? ¿Cuántas personas podrían infectarse con el virus y cuándo podría ocurrir el pico de la epidemia?

Sobre la primera, les preocupa las cifras de las pruebas realizadas. La única prueba aceptadas y validadas por la Organización Mundial de la Salud para determinar si una persona está infectada o no con el virus es la prueba de la reacción en cadena de la polimerasa con transcriptasa inversa (PCR-RT, por sus siglas en inglés), y de esas Venezuela solo ha hecho 5.969, cinco veces menos que Ecuador, Colombia o Perú. Por ejemplo, Colombia hace, en promedio, 4.000 pruebas diarias. El país tiene capacidad para hacer cerca de 12.000 pruebas diarias y poco a poco se van habilitando más laboratorios para alcanzar esa cifra.

Hacer las pruebas PCR es importante, porque son las que permiten tomar decisiones informadas sobre como manejarla para reducir su impacto en la población, señala el informe. “Los países han invertido enormes esfuerzos en diagnosticar al mayor número de ciudadanos posibles a través de pruebas de PCR-RT, que son las de mayor precisión en la identificación de personas infectadas.”

Las mismas características de la enfermedad garantizan un subregistro del número de personas infectadas con COVID-19, que, según estudios preliminares citados por la Academia, pueden oscilar entre un 18% (Mizumoto 2020) y un 50 % (Day 2020). El grado de subregistro depende de la cobertura diagnóstica del país. “Cuando los países han reportado una primera muerte atribuida a la COVID-19, cientos o incluso miles de persona podrían estar infectadas en la población, muchas de ellas sin registro”, señala el informe, que además dice que es probable que exista un subregistro “significativo” en nuestro país.

Proyecciones de la pandemia

El estudio incluye proyecciones hechas para aproximar el número potencial de casos de la COVID-19 en el país, a partir de las tres primeras muertes, y estimar el porcentaje de casos sintomáticos que estaría reportando el país.

Para la primera, usaron la proposición de casos fatales y la distribución de los tiempos entre el inicio de los síntomas de la infección y la muerte. Con esto se puede inferir la probable fecha de inicio de los síntomas de la fatalidad y el número potencial de otros casos.

Esta es la metodología que usaron: Para cada muerte, se estimó la fecha de inicio de la infección a partir de la fecha de la muerte, para generar una distribución teórica de referencia de los tiempos esperados entre estos dos eventos. Con cada fecha de inicio de la infección, se identifica un grupo inicial de casos (1/CFR casos) para generar, mediante simulaciones (n=200), una serie temporal de nuevos casos esperados y sus niveles de incertidumbre (50 % y 90 % de intervalos de confianza), suponiendo que estos casos tienen una distribución de probabilidades tipo Poisson. Se suman los casos generados en cada serie de tiempo para obtener el número total de casos esperados y sus intervalos de confianza.

El estudio muestra dos escenarios: uno de contagio leve, que muestra el comportamiento esperado a una tasa de contagio baja gracias a las restricciones de movilidad en el país, y uno de contagio moderado usando como ejemplo el comportamiento de la epidemia en otros países de la región.

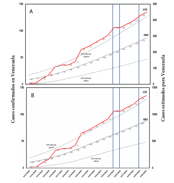
Los resultados de ambas simulaciones están por encima de los casos oficialmente reportados. El primero, el más conservador, estima 289 casos para el 30 de marzo. Para esa fecha se habían reportado 135 casos oficiales. Además, usando esa metodología, el inicio de la epidemia en el país puede trazarse a los primeros días de marzo, dos semanas antes del anuncio del primer caso.

Sobre el subregistro, el modelo usado habla de un posible subregistro entre 5 y 37 % de casos sintomáticos para el 23 abril. Para esa fecha había un total de 298 casos oficiales, es decir, la cantidad de casos sintomáticos sin registrar sería de 507 casos.

Casos de la COVID-19 confirmados reportados y estimados de acuerdo al modelo Jombart et al. 2020 en Venezuela hasta el 30-03-2020

Viendo a futuro

Para hablar de los escenarios posibles de desarrollo de la pandemia de COVID-19 se usó un modelo SEIR de Modelaje matemático de epidemias, que usa cuatro comportamientos (susceptibles, expuestos, infectados y recuperados) para proyectar los flujos esperados.

Para hacerlo tomaron en cuenta tres premisas principales: i) un número de infectados iniciales bajo, debido a restricciones pre-existentes en el tráfico aéreo; ii) una tasa de contagio inicial (a partir del reporte del primer caso) baja, debido al decreto de cuarentena que tuvo un nivel de acatamiento alto, sobre todo en el sector de la población donde se produjeron los primeros casos ; iii) una tasa de contagio creciente debido a la incapacidad de la población a mantener la cuarentena, sobre todo en el sector de la población más vulnerable, en donde ya hay transmisión comunitaria y debido a una creciente percepción de que la epidemia se controló y por tanto, no es necesario mantener el distanciamiento social. Esta percepción deriva del retardo con el que se ha desarrollado la epidemia y, probablemente, la magnitud del subregistro.

Con eso se desarrollaron tres escenarios con diferentes velocidades de contagio pero con un mismo resultado: más de mil casos por día para el pico de la epidemia. En el escenario trabajado con una tasa de contagio más leve, el modelo predice un pico de un poco más de 1.000 casos nuevos cada día después de la primera semana de septiembre. En el de un aumento sustancial en la tasa de contagio se esperan más de 4.000 nuevos casos por día durante la primera semana de junio.

Venezuela: proyección de casos nuevos

Aunque el estudio señala que “los intervalos de certeza de algunos modelos pueden ser amplios”, sirven para descartar escenarios casi imposibles, para reducir la incertidumbre y tomar acciones a futuro.

La primera recomendación de acción para el gobierno es aumentar la cantidad de pruebas PCR-RT, e informar la proporción de pruebas tomadas y resultados positivos, que “es el único parámetro que permite evaluar los sesgos que se producen por efecto de la cobertura incompleta”. Para eso se debe descentralizar el diagnóstico: en Venezuela las pruebas solo las analiza el Instituto Nacional de Higiene Rafael Rangel, en Caracas.

Una mejor capacidad de diagnóstico ayudaría a la sociedad y a la colectividad científica a entender mejor las cifras del país. El estudio de la ACFIMAN señala que los reportes diarios hechos por el gobierno no se ajusta al escenario epidemiológico del coronavirus. “Se estima un subregistro que en el mejor de los casos podría ser del 63 % y en el peor, del 95 % de los casos sintomáticos hasta el 23 de abril 2020. Esto proyectaría un total de casos acumulados sintomáticos entre 289 y 883, y no los 135 reportados oficialmente para esa fecha. Es fundamental considerar este subregistro para tomar decisiones acertadas para el manejo de la epidemia”.

Ni con las medidas de confinamiento temprano que se aplicaron en Venezuela parece posible que la epidemia de COVID-19 cambie su curso: el número de nuevos casos que se esperan cada día está por encima del millar, en un escenario conservador y con un subregistro bajo, poco probable dada la baja cantidad de pruebas hechas en el país. “En otros escenarios menos conservadores este número podría ascender alrededor de 4.000 casos. Ello sugiere que el país debe prepararse para el impacto que representa un número entre 1.000-4.000 casos nuevos diariamente durante el pico de la epidemia, que podría producirse entre junio y septiembre de este año”.

Puedes ver el informe completo aquí: https://acfiman.org/2020/05/08/estado-actual-de-la-epidemia-de-la-covid-19-en-venezuela-y-sus-posibles-trayectorias-bajo-varios-escenarios/

Post Tagged with , ,

Comments are closed.